¿Qué es la inulina?
La inulina es una fibra soluble prebiótica fermentada selectivamente por bacterias beneficiosas produciendo AGCC que generan efectos positivos en la salud intestinal y metabólica.
La World Gastroenterology Organisation Practice Guideline define a los PREBIÓTICOS como aquel ingrediente fermentado selectivamente que produce cambios específicos en la composición y/o actividad de la microbiota gastrointestinal, confiriendo así beneficios a la salud del huésped, siendo la inulina uno de los más estudiados y reconocidos.

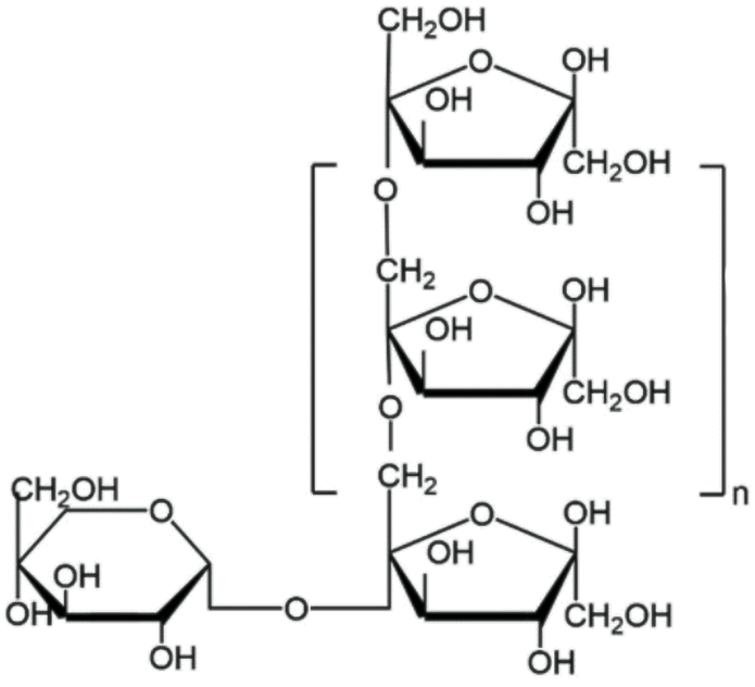
Estructura química de la inulina
La inulina es un fructano lineal que consta de unidades de fructosilo unidas por enlaces β (2→1), típicamente con una fracción de glucosa unida al final a través de un enlace α (1→2).
Estructuralmente, es un polisacárido formado por unidades de D-fructofuranosa, lo que lo hace resistente a la hidrólisis por enzimas gastrointestinales humanas debido a su configuración β.
Diferencia entre fibra dietética y fibra dietética PREBIÓTICA
La fibra dietética se define como polímeros de carbohidratos que contienen ≥ 10 unidades monoméricas que resisten la digestión por enzimas endógenas en el intestino delgado. La fibra dietética se puede dividir en soluble e insoluble.
Aunque todos los prebióticos son fibra, no toda la fibra es prebiótica. La clasificación de un ingrediente alimentario como prebiótico requiere una demostración científica de que el ingrediente:
Resistente
Resiste la acidez gástrica, la hidrólisis enzimática (no es afectado por enzimas presentes en la saliva, así como enzimas pancreáticas e intestinales) y la absorción en el tracto gastrointestinal superior.
Estimulante
Estimula selectivamente el crecimiento y/o la actividad de las bacterias intestinales benéficas que contribuyen a la salud y bienestar.
Fermentado
Es fermentado por la microbiota intestinal.
La INULINA posee propiedades estructurales y fisiológicas únicas, es resistente a la hidrólisis enzimática por la saliva humana y las enzimas digestivas del intestino delgado, y tras la fermentación de las bacterias intestinales, produce AGCC: acetato, butirato y propionato, que otorgan diferentes beneficios a la salud.
FIBRA INSOLUBLE
FIBRA SOLUBLE
FIBRA PREBIÓTICA
Celulosa.
Psyllium.
Inulina, Fructooligosacáridos, Galactooligosacáridos.
FIBRA INSOLUBLE
Celulosa.
FIBRA SOLUBLE
Psyllium.
FIBRA PREBIÓTICA
Inulina, Fructooligosacáridos, Galactooligosacáridos.
La inulina es considerada como una fibra dietética soluble prebiótica.
Los beneficios para la salud de los prebióticos se manifiestan principalmente al enriquecer la composición de la microbiota intestinal y la producción de los metabolitos microbianos.
Seguridad y recomendaciones de ingesta de Inulina
En 2003, la Administración de Alimentos y Medicamentos de los Estados Unidos (FDA) clasificó la inulina como “GRAS” (Generally Recognised As Safe).
La ingesta diaria efectiva es de 5 g y la ingesta diaria máxima recomendada es de 15-20 g. El consumo de inulina por debajo de 40 g por día en adultos sanos es seguro.

Fuentes de inulina
La inulina puede encontrarse en una amplia variedad de familias de plantas, siendo Liliaceae, Amaryllidaceae y Asteraceae sus principales fuentes naturales.
Se almacena en diferentes regiones de las plantas por ejemplo:
Bulbos: Ajo (Allium sativum L.)
Raíces: Achicoria (Cichorium intybus L.)
Tubérculos: Alcachofa de Jerusalén (Helianthus tuberosus)
Los efectos fisiológicos de la inulina se han estudiado mediante su suplementación alimentaria debido a que el contenido en las plantas puede ser muy variable además de ser alimentos que no se consumen en grandes cantidades de forma diaria.
Beneficios para la salud por la suplementación con inulina
La inulina enriquece la microbiota intestinal
La inulina llega intacta al colon y es fermentada sobre todo por las especies de los géneros Bifidobacterium y Lactobacillus, lo que incrementa su abundancia. Además, las Bifidobacterias y Lactobacilos compiten por nutrientes y sitios de adhesión en la mucosa, limitando el espacio disponible para patógenos y reduciendo así su proliferación. De esta manera, la inulina contribuye a un ecosistema intestinal equilibrado y protector.
La inulina mejora el tránsito intestinal, reduce el estreñimiento y mejora la consistencia de las heces
Los AGCC estimulan la motilidad intestinal. La fermentación de la inulina aumenta la biomasa bacteriana, lo que incrementa el volumen de las heces. Además, la inulina retiene agua, favoreciendo heces más blandas y fáciles de evacuar.
En conjunto, mejora el tránsito gastrointestinal y la regularidad intestinal.
Produce AGCC: acetato, butirato y propionato
La fermentación de la inulina por las bacterias intestinales produce como metabolitos principales a los AGCC que son los principales mediadores de los efectos beneficiosos de la inulina. Estos metabolitos mejoran la barrera intestinal al reforzar las uniones estrechas y reducir la permeabilidad intestinal. Los AGCC bajan el pH intestinal, creando un ambiente menos favorable para microorganismos patógenos. Los AGCC además estimulan la motilidad intestinal y tienen acción antiinflamatoria al regular la expresión de citoquinas proinflamatorias. A nivel sistémico actúan sobre el equilibrio metabólico de la glucosa y de los lípidos.
Mejora la absorción de nutrientes especialmente los minerales claves para la salud ósea
Los AGCC producidos durante la fermentación de la inulina bajan el pH del lumen intestinal, lo que aumenta la solubilidad de minerales como el calcio, magnesio y el hierro, facilitando su absorción. La suplementación con inulina ha demostrado que aumenta la absorción intestinal del calcio y del magnesio, nutrientes claves para la salud ósea, especialmente relevantes en mujeres postmenopáusicas y otras poblaciones con mayores requerimientos. Estudios clínicos demostraron un aumento en la absorción de calcio cuando se utilizaron suplementos con inulina.
La inulina mejora los parámetros antropométricos
La inulina, al no ser digerible, retrasa el vaciado gástrico aumentando la secreción de hormonas de la saciedad, mejorando los parámetros antropométricos.
Los estudios han demostrado que, a dosis altas administradas durante un período prolongado, se produce un aumento de Bifidobacterias que se asocia con mejoras en estos valores, especialmente en el peso corporal e índice de masa corporal.
Los AGCC desempeñan un papel crucial en el metabolismo energético, mediante su participación en diferentes vías ayudan a regular el apetito.
La inulina aumenta el metabolismo de la glucosa, reduciendo los niveles de insulina
La inulina retrasa la absorción de glucosa en el intestino, ayudando a regular el aumento de los niveles de glucosa en sangre después de las comidas, favoreciendo la homeostasis glucémica.
El efecto bifidogénico se ha asociado con una mayor sensibilidad a la insulina y mejores niveles de insulina en sangre.
El propionato, butirato y especialmente el acetato activan los receptores de las células beta-pancreáticas, regulando la secreción de insulina y mejorando la homeostasis de la glucosa.
Impacto positivo en el metabolismo de lípidos
La inulina puede interferir en la absorción de la grasa dietética y el colesterol ayudando a disminuir los niveles de sangre de la lipoproteína de baja densidad (LDL).
A diferentes dosis la inulina puede reducir los niveles de colesterol total, LDL y triglicéridos en sangre dado que los AGCC pueden regular la lipogénesis mediante diferentes mecanismos.
Además, es capaz de aumentar los niveles séricos de la lipoproteína de alta densidad (HDL) cuando se administra durante un prolongado periodo de tiempo.
Efectos beneficiosos sobre la inflamación y función inmune
Los estudios muestran que la inulina aumenta significativamente diferentes especies de Bifidobacterias, destacando B. Longum, B. Teenageis y B. Angulatum. Las bifidobacterias tienen efectos bien documentados sobre la modulación de la inflamación y la reducción de marcadores inflamatorios, tanto a nivel intestinal como sistémico:
Disminución de citoquinas proinflamatorias como TNF-α, IL-6, IL-1β.
Aumento de citoquinas antiinflamatorias como IL-10.
Reducción de la proteína C reactiva (PCR), un marcador inflamatorio sistémico.
Las especies del género Anaerostipes se relacionan con un rápido aumento de los marcadores antiinflamatorios y una disminución de los marcadores proinflamatorios.Además, la inulina al disminuir el pH del colon y mejorar la biomasa de la microbiota obstaculiza y previene el desarrollo de especies patógenas, reduciendo significativamente el número de poblaciones de especies pertenecientes al género Clostridium lo que conduce a una reducción de la inflamación y a una mejor salud digestiva general y absorción de nutrientes.

Hacer click sobre el cuadro para ampliar la imagen.

Inulina y enfermedad inflamatoria intestinal (EII)
La enfermedad inflamatoria intestinal (EII), que incluye la enfermedad de Crohn y la colitis ulcerosa, se asocia con factores ambientales, predisposición genética, disfunción inmunológica y alteraciones en la microbiota.
Se sabe que el microbioma regula la fisiología intestinal y las respuestas inmunes, lo que ha impulsado la investigación sobre el uso de prebióticos, probióticos y simbióticos en el manejo de la EII. Este enfoque busca restaurar el equilibrio entre la microbiota intestinal y los mecanismos de defensa de la mucosa, reduciendo así la inflamación.
En modelos experimentales y ensayos clínicos, distintas cepas probióticas (como Lactobacillus y Bifidobacterium) y mezclas de carbohidratos fermentables han mostrado beneficios, incluyendo la supresión de la inflamación, inducción de la remisión y prevención de recaídas, con escasos efectos secundarios. Entre los mecanismos descritos destacan: inhibición del crecimiento de patógenos mediante compuestos antimicrobianos, modulación inmune, fortalecimiento de la barrera intestinal y regulación de la proliferación de células T.
En este contexto, la inulina favorece el crecimiento de bacterias beneficiosas, promueve una función entérica más eficiente y ejerce efectos antiinflamatorios, al disminuir la expresión de citoquinas proinflamatorias relacionadas con TNF-α y aumentar la producción de IL-10.
Inulina y enfermedad renal crónica (ERC)
En la enfermedad renal crónica, la acumulación de urea altera la microbiota intestinal y aumenta la permeabilidad de la barrera epitelial, favoreciendo la entrada de toxinas urémicas como sulfato de indol, p-cresol y TMAO, que promueven endotoxemia e inflamación sistémica.
La modificación de la microbiota mediante prebióticos se plantea como estrategia terapéutica para reducir toxinas urémicas de origen intestinal y la inflamación. Por ejemplo, en estudios clínicos la suplementación con inulina cambió la composición de la microbiota intestinal, redujo los niveles séricos de ácido úrico y aumentó la degradación del ácido úrico fecal en pacientes con insuficiencia renal. Además, la ingesta de fructanos de tipo inulina limitó la producción de indoles en pacientes sometidos a diálisis peritoneal. El tratamiento con inulina redujo el nivel sérico de sulfato de indoxilo, mejoró la tasa de filtración glomerular y disminuyó los niveles de proteína C reactiva de alta sensibilidad al alterar la composición de la microbiota intestinal en pacientes con ERC.


Usos prácticos de la inulina en la clínica nutricional
El papel de la inulina en el control del peso corporal, metabolismo de la glucosa y los marcadores inflamatorios han evidenciado su uso potencial para mejorar las enfermedades relacionadas con la obesidad, diabetes tipo 2 y las enfermedades cardiovasculares.
Debido a la capacidad prebiótica y antiinflamatoria que posee, la suplementación con este ingrediente se ha evaluado en enfermedades donde la microbiota intestinal y la inflamación resultante juegan un papel en su patogénesis, como las enfermedades renales e inflamatorias intestinales.
La inulina promueve la salud digestiva en general, estimula el tránsito intestinal, disminuyendo el estreñimiento. A su vez mejora la disponibilidad y absorción de ciertos nutrientes como el calcio y el magnesio.
Conclusión:
La inulina, por su estructura química, es resistente a la hidrólisis de las enzimas gastrointestinales y llega intacta al colon, donde es fermentada principalmente por bacterias beneficiosas de la microbiota, como Bifidobacterium y Lactobacillus. Este proceso genera ácidos grasos de cadena corta (acetato, propionato y butirato), considerados metabolitos clave.
Al modular la microbiota intestinal, la inulina contribuye a mejorar la función de la barrera intestinal, favorecer el tránsito intestinal, aumentar la absorción de calcio y magnesio, mejorar la sensibilidad a la insulina y el perfil lipídico, así como promover la saciedad.
Su ingesta diaria se asocia con beneficios para la salud y con la reducción del riesgo de enfermedades crónicas como obesidad, diabetes, dislipemias y enfermedad inflamatoria intestinal. Estos efectos derivan tanto del enriquecimiento de bacterias beneficiosas y la producción de AGCC como de mecanismos adicionales relacionados con la regulación inmunológica, metabólica e inflamatoria.
En conclusión, la evidencia disponible sugiere que la inulina ejerce efectos metabólicos positivos a través de la mejora de la microbiota intestinal y de los metabolitos producidos por su fermentación.
Fuentes
Alonso-Allende J, Milagro FI, Aranaz P. Health Effects and Mechanisms of Inulin Action in Human Metabolism. Nutrients. 2024 Sep 2; 16(17):2935. doi: 10.3390/nu16172935. PMID: 39275251; PMCID: PMC11397174.
Guarner F, Sanders ME, Szajewska H, Cohen H, Eliakim R, Herrera-deGuise C, Karakan T, Merenstein D, Piscoya A, Ramakrishna B, Salminen S, Melberg J. World Gastroenterology Organisation Global Guidelines: Probiotics and Prebiotics. J Clin Gastroenterol. 2024 Jul 1; 58(6):533-553. doi: 10.1097/MCG.0000000000002002. PMID: 38885083.
Sheng W, Ji G, Zhang L. Immunomodulatory effects of inulin and its intestinal metabolites. Front Immunol. 2023 Aug 10; 14:1224092. doi: 10.3389/fimmu.2023.1224092. PMID: 37638034; PMCID: PMC10449545.
Rezende ESV, Lima GC, Naves MMV. Dietary fibers as beneficial microbiota modulators: A proposed classification by prebiotic categories. Nutrition. 2021 Sep; 89:111217. doi: 10.1016/j.nut.2021.111217. Epub 2021 Feb 26. PMID: 33838493.
Código Alimentario Capítulo XVII Alimentos de régimen o dietéticos Artículo 1390 – (Resolución Conjunta SPReI N° 229/2011 y SAGyP N° 731/2011). capitulo_xvii_dieteticosactualiz_2025-07.pdf
Roy S, Dhaneshwar S. Role of prebiotics, probiotics, and synbiotics in management of inflammatory bowel disease: Current perspectives. World J Gastroenterol. 2023 Apr 14; 29(14):2078-2100. doi: 10.3748/wjg.v29.i14.2078. Erratum in: World J Gastroenterol. 2023 Sep 21;29(35):5178-5179.
Hughes RL, Alvarado DA, Swanson KS, Holscher HD. The Prebiotic Potential of Inulin-Type Fructans: A Systematic Review. Adv Nutr. 2022 Mar; 13(2):492-529. doi: 10.1093/advances/nmab119. Epub 2023 Feb 10. PMID: 34555168; PMCID: PMC8970830.